金牌影院

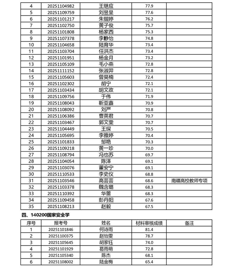
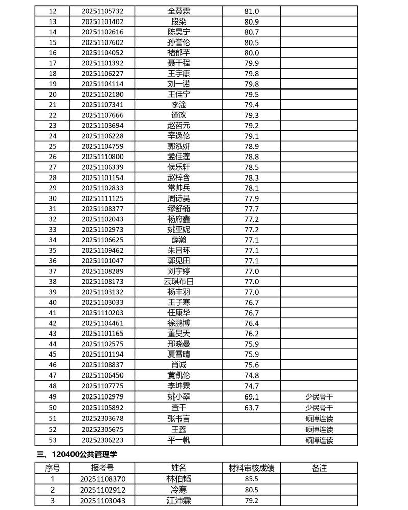
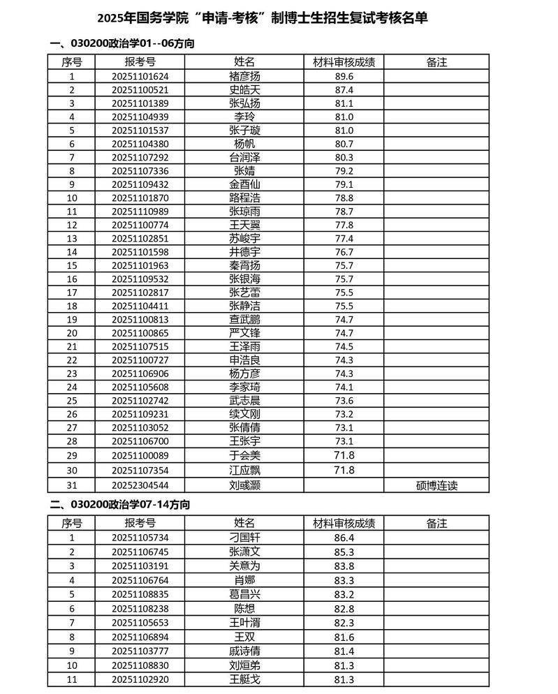
2025年金牌影院 “申请-考核”制博士生招生复试考核名单

发布者:刘可 发布时间:2025-03-12 浏览次数:10

请所有进入复试考核的考生在报考系统中确认是否确认参加复试。同时,在202531320:00前发送邮件到[email protected]确认是否参加复试考核,邮件格式:申请专业+研究方向+考生姓名+报考号+参加/不参加复试考核

复试考核分为笔试与面试两个环节,笔试时间为2025322日(周六)上午9:00-12:00,面试时间为2025323日(周日)。

各位考生请提前做好时间安排,其他关于复试考核具体安排以研究生报考系统复试通知安排为准。