金牌影院

2024年金牌影院 “申请-考核”制博士生招生复试考核名单

发布者:刘可 发布时间:2024-03-15 浏览次数:11

2024年金牌影院 “申请-考核”制博士生招生

终审考核名单


请所有进入复试考核的考生发送邮件到[email protected]确认是否参加复试考核,时间为2024年3月17日20:00邮件格式:“申请专业+研究方向+考生姓名+报考号+参加/不参加复试考核”,并在报考系统中确认“是否确认参加复试”。

复试考核分为笔试与面试两个环节,笔试时间为2024323日(周六)上午9:00-12:00,面试时间为2024324日(周日)。各位考生请提前做好时间安排,其他关于复试考核具体安排以研究生报考系统复试通知安排为准。



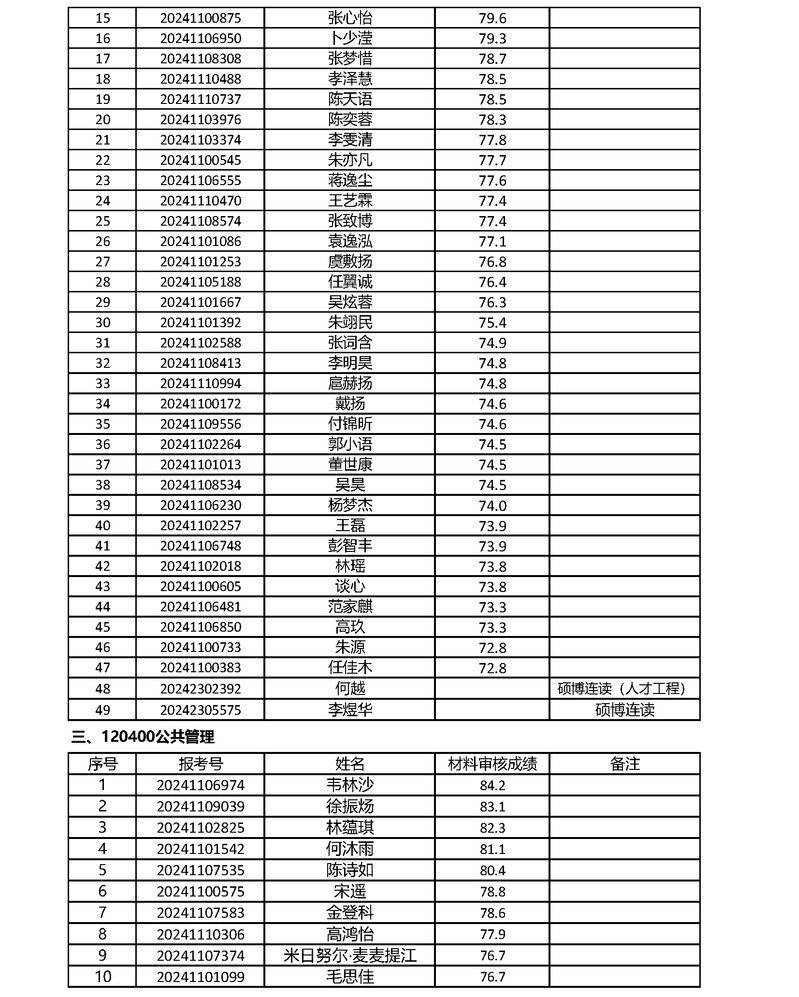
2024年金牌影院 “申请-考核”制博士生招生复试考核名单.pdf